
Yefim S. answered 09/28/20
Tutor
5
(20)
Math Tutor with Experience
Only 1st is not f'(2) because there to sabtruct f(2) you have to change all signs of terms f(2)
Delyla C.
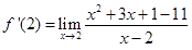
asked 09/28/20Which one of the following does not find the value of f '(2) for f(x) = x2 + 3x + 1? (4 points)
Answer Choices
![]() |
|
![]() |
|
![]() |
|
All of these find the value for f '(2). |
Yefim S. answered 09/28/20
Math Tutor with Experience
Only 1st is not f'(2) because there to sabtruct f(2) you have to change all signs of terms f(2)
Get a free answer to a quick problem.
Most questions answered within 4 hours.
Choose an expert and meet online. No packages or subscriptions, pay only for the time you need.